| 2.3 Funkcje matematyczne | ||||||||||
| 2.3.1 Funkcje trygonometryczne i logarytmiczne |
![]() |
|||||||||
| Program VCmaster wykonuje wszystkie matematyczne funkcje kalkulatora naukowego. Należą do nich dowolne poziomy nawiasowania oraz potęgowanie. |
||||||||||
| Nazwy funkcji można podawać bezpośrednio lub za pośrednictwem menu. W drugim przypadku system automatycznie wprowadza odpowiednią nazwę, np. „SIN()“ . Następnie kursor umieszczany jest w nawiasie, wystarczy więc tylko wpisać wartość funkcji. Może nią być liczba lub zmienna. |
||||||||||
| Wszystkie funkcje można wzajemnie ze sobą łączyć. Oznacza to, że wartość funkcji może zawierać również elementy uruchamiające funkcję (zagnieżdżanie; zobacz przykłady). |
||||||||||
| Program VCmaster potrafi interpretować górne indeksy. I tak, wyrażenie X² (napisane z wykorzystaniem skrótu klawiaturowego ALT+E) odpowiada wartości X2 (gdzie 2 jest górnym indeksem). Również wartość X1/3 jest właściwe interpretowana. Dlatego też korzystając z tego programu nie są potrzebne żadne specjalne funkcje wykładnicze. |
||||||||||
| W całym programie obowiązują ogólnie znane reguły matematyczne. Jeżeli równanie nie ma rozwiązania, program generuje odpowiedni komunikat błędu. Program kontynuuje obliczanie do zadanej liczby miejsc po przecinku. Jeżeli potrzebny jest dokładniejszy wynik, należy zwiększyć zadaną liczbę miejsc po przecinku. |
||||||||||
| Uruchamianie: | Menu: | Oblicz - Funkcje trygonometryczne/logarytmiczne | ||||||||
| Przykłady |
||||||||||
| Funkcje trygonometryczne: |
||||||||||
| Szerokość b = | 200, | 00 mm | ||||||||
| Kąt α = | 45, | 00 ° | ||||||||
| Wysokość h = | b * SIN( α ) | = 141, | 42 mm | |||||||
| Potęgowanie (automatyczna interpretacja górnych indeksów): | ||||||||||
| χ = | 1/(φ+(φ²-λ²)0,5) | 0, | 8083 | |||||||
| Potęgowanie: | ||||||||||
| Szerokość b = | 10, | 00 mm | ||||||||
| Wysokość h = | 20, | 00 mm | ||||||||
I = |
b * h³ / 12 |
6666, |
67 mm4 |
|||||||
| 2.3.2 Funkcje logiczne |
||||||||||
| Program realizuje funkcje ABS(), MAX(), MIN(), IF(), AND, OR. Jeżeli atrybutów jest więcej, oddziela się je średnikami. |
||||||||||
| Funkcja IF składa się z trzech elementów: warunku, wzoru względnie wartości, stosowanych, jeśli warunek jest spełniony oraz wzoru względnie wartości, miarodajnych, jeśli warunek nie jest spełniony. |
||||||||||
![]() |
||||||||||
| Funkcja IF dopuszcza stosowania wszystkich typowych operatorów “=" , “¹" , “>" , “<" , “≥" oraz “≤". Można tu również porównywać zmienne tekstowe. Wynikiem są zawsze wartości liczbowe. Funkcję IF rozwiązuje się od prawej do lewej strony ekranu. Dlatego w przypadku powiązań zaleca się korzystać z nawiasów. |
||||||||||
| Przykłady |
||||||||||
| Funkcja IF (czytaj: jeżeli; wtedy; inaczej): |
||||||||||
| D = | 55,00 mm | |||||||||
| k = | IF( D≤32; 1; 1 - 0,26*LOG(D/32))) | = 0, | 939 | |||||||
| Funkcja IF (zagnieżdżona): |
||||||||||
| d = | 20 cm | |||||||||
| b = | IF( d>25; 1;IF( d>17,5 ; 0,9 ; 0,75) ) | = 0, | 90 | |||||||
| Przykład ze zmiennymi tekstowymi: |
||||||||||
| Stal = | "S355" | |||||||||
| Re = | IF( stal=“S235“ ; 235 ; 355 ) | = 355, | 00 N/mm² | |||||||
| Przykład z różnymi nawiasami (czerwonymi) i wynikami: | ||||||||||
| A = | 15 | |||||||||
| B = | 30 | |||||||||
| IF( A < 10 AND B < 20 OR B > 25; 1; 0,80 ) | = 1, | 00 | ||||||||
| IF( (A < 10 AND B < 20) OR B > 25; 1; 0,80 ) | = 1, | 00 | ||||||||
| IF( A < 10 AND (B < 20 OR B > 25); 1; 0,80 ) | = 0, | 80 | ||||||||
| Przykłady funkcji MIN()- / MAX(): | ||||||||||
| F1 = | 150 N | |||||||||
| F2 = | 200 N | |||||||||
| FMAX = | MAX( F1; F2 ) | = 200, | 00 N | |||||||
| FMIN | MIN (F1; F2 * 0,50 ) | = 100, | 00 N | |||||||
| Wskazówka: Element IF() może zostać ukryty na potrzeby wydruku. Zobacz rozdział 2.9 |
||||||||||
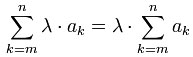
| 2.3.3 Funkcja sumy i kwoty |
||||||||||
| Obie funkcje (sumy i kwoty) wprowadza się w graficznym edytorze wzorów. | ||||||||||
| Edycja sumy odpowiada ogólnie znanym regułom matematycznym. |
![]() |
|||||||||
| Wskazówki: | Zmienna pętli musi znajdować się w indeksie |
|||||||||
| Wiadomo, że: | ![]() |
|||||||||
![]() |
||||||||||
![]() |
Przykład ilustruje następujące działanie funkcji: |
|||||||||
Iy = Iy1+ Iy2 + Iy3 |
||||||||||